Oto treść skargi spółki Piotra Niżyńskiego do Europejskiego Trybunału Praw Człowieka (drugiej już w 2017 r. skargi napisanej przeze mnie), tym razem w sprawie odmowy zwolnienia jej z kosztów sądowych mimo braku pieniędzy. Sędziom nie chciało się nawet przesłuchiwać przedstawicieli spółki. Nie uzyskali pewności, że spółka jest bez pieniędzy, to i nie zwolnili – na podstawie samych dokumentów. Tymczasem standardem w odniesieniu do prawa człowieka do sądu jest odwrócony ciężar dowodu; np. w przypadku prawa do ustnej rozprawy, które zazwyczaj przysługuje i co najwyżej można się go zrzec, zrzeczenie się przez zainteresowanego tego prawa musi być "niedwuznaczne", tzn. w praktyce: niewątpliwe (http://www.echr.coe.int/Documents/Guide_Art_6_ENG.pdf – proszę wyszukać słowo "unequivocal"); to nie interesant domagający się np. wznowienia musi udowodnić, że na pewno (czy najprawdopodobniej) miał inny adres, lecz niewątpliwe (lub bez sensownych podstaw do wątpliwości) musi być to, że wysłano do niego nakaz zapłaty na adres prawidłowy, po czym on świadomie go nie zaskarżył. Podobnie jest praktycznie i w każdym takim przypadku, gdzie sąd rozstrzygając coś decyduje ewentualnie o spełnieniu się lub nie czyjegoś prawa do sądu. Np. (jak w tym przypadku) sąd, który nie zwalnia z kosztów sądowych interesanta przychodzącego z nieprzesadnym w sumie roszczeniem, być może słusznym, uniemożliwiając mu być może dostęp do sądu, nie może polegać na tym, że "nie uzyskał pewności, że zwolnienie przysługuje", tylko – przeciwnie – nie zwalnia się z kosztów sądowych, gdy zebrany materiał jednoznacznie wskazuje na to, że koszty można zapłacić (lub że brak jest w ogóle sensownych podstaw do wątpliwości w tym przedmiocie) i że w związku z tym żądanie pod adresem powoda jest niewygórowane i słuszne.

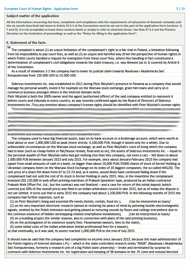
Tyle ładnie brzmiącej i dającej się prosto uzasadnić teorii, a oto moja skarga (jeżeli obrazki nie załadowały się w pełni, proszę odświeżyć stronę):

Wideo pokazujące nadanie skargi na poczcie można obejrzeć na YouTube – widać na nim dobrze, co konkretnie wysłałem i którego dnia (potwierdzenie nadania), i w jakiej placówce (Warszawa, Poczta Główna na ul. Świętokrzyskiej, czynna całodobowo, nawet w święta). Los skargi jest w zasadzie już przesądzony, zostanie ona odrzucona bez badania (tj. "w przedbiegach") podczas jej sprawdzania przez pojedynczego sędziego jako rzekomo "w oczywisty sposób na błędnych podstawach oparta" (ang. manifestly ill-founded, oczywista bezzasadność) – jest to rzecz jasna kompletna bzdura, jak powie wam każdy, kto choćby minimalnie interesuje się tematyką praw człowieka, ale dojdzie do takiego odrzucenia bez powołania 3-osobowego składu (i bez stawiania mnie na równi z rządem przy rozsądzaniu sprawy, bez w ogóle zwracania się nawet do rządu) z powodu prawdopodobnie korupcji ze strony telewizji francuskiej (łapówkarstwo także i w Trybunale?) oraz po prostu, jak można się spodziewać (wyjaśniłem to w odpowiednim dopisku na blogu pod tym wpisem o procesorach) udziału w gangu samych strasburskich sędziów praw człowieka (słuchawki, podglądanie mego ekranu to ich regularnie powracające zajęcia, zgodnie z tamtejszym wewnętrznym harmonogramem zmian).

Jest oczywiste, że z jednej strony w Trybunale, jak najbardziej, takimi rzeczami się zajmują, czyli nie ma co mnie dyskryminować, a z drugiej, że Trybunał nie może ocenić zasadności podnoszonych zarzutów bez uzyskania kopii polskich akt sądowych. Tym niemniej w moim przypadku, z przyczyn kadrowych, "przegrana w przedbiegach" i tak jest nie tylko możliwa, ale nawet najbardziej prawdopodobna.

UWAGA: nagranie wideo, do którego odnośnik jest powyżej, jest w bardzo wysokiej jakości – jeśli kiepsko się Państwu wyświetla, proszę po prostu kliknąć ikonę śrubki w YouTube i w menu ustawić wyższą jakość!

 

Polecam jeszcze przejrzenie przeglądu prawnego mego autorstwa, był on załącznikiem skargi (niestety także w języku angielskim):

 

edit 2018-07-03: OTO ODPOWIEDŹ, JAKA ZGODNIE Z PRZEWIDYWANIAMI PRZYSZŁA Z TRYBUNAŁU PRAW CZŁOWIEKA (II poł. 2017 r.): sprawy nie przyjęto nawet do rozpoznania, nie sprawdzano akt, przyjęto brak naruszeń. A szkoda, dużo pieniędzy straciłem na tej złej woli sądu polskiego i ETPCz. Trybunał lubi moje skargi odrzucać w przedbiegach, bez wnikania w meritum — wtedy odpowiedzialność jest jednostkowa, podczas gdy w razie rozprawy orzekają aż trzej sędziowie, no i jest teoretyczna możliwość odwołania się (poza tym zawraca się głowę polskiemu rządowi, zmusza go do przedstawiania tłumaczeń, co ma zawsze jakiś oddźwięk propagandowy — pewnie o to chodzi panu, nomen omen, Raj-mondiemu, głosicielowi, że w sprawie Niżyńskiego jest "tak wspaniale"... poza tym pewnie to jakaś korupcja, pewnie nawet w TVP Warszawa — po łapówce dla prezesa i dla specjalnie wyszukanego sędziego?).